новости бизнеса
компании и предприятия
нефтехимические компании
продукция / логистика
торговый центр
ChemIndex
новости науки
работа для химиков
химические выставки
лабораторное оборудование
химические реактивы
расширенный поиск
каталог ресурсов
электронный справочник
авторефераты
форум химиков
подписка / опросы
проекты / о нас


контакты
поиск
   

главная > справочник > химическая энциклопедия:

КЭРРОЛЛА-КАЙМЕЛА РЕАКЦИЯ


выберите первую букву в названии статьи: А Б В Г Д Е Ж З И К Л М Н О П Р С Т У Ф Х Ц Ч Ш Щ Э Ю Я

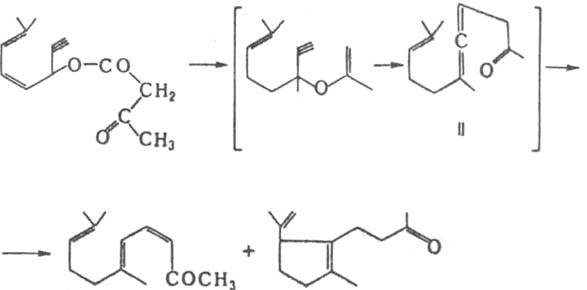
КЭРРОЛЛА-КАЙМЕЛА РЕАКЦИЯ, получение g,d-непредельных кетонов, в т.ч. с сопряженными двойными связями. тсрмич. конденсацией b,g-ненасыщ. спиртов (аллиловых или пропаргиловых) с эфирами b-кетокислот:

P-цию проводят в жидкой фазе при 160-200 °С, иногда в присутствии оснований - C2H5ONa, (изо3Н7)3Аl, C2H5COONa, КОН и т.п. Выход продуктов 40-85%; он уменьшается при переходе от третичных к вторичным и первичным спиртам, а также при наличии заместителей у связи С=С. В реакцию вступают алифатич., алициклич. и жирно-ароматич. спирты. В случае первичных алифатич. спиртов миграция двойной связи не происходит, например:

СН3СН=СНСН2ОН+СН3СОСН2СООС2Н5:СН3СН=СНСН2СН2СОСН3

Р-ция протекает через образование ацетоацетатов (ф-ла I) с послед. их декарбоксилированием и [3,3]-сигматропной перегруппировкой, например:

Синтез соед. I нестереоспецифичен и в результате приводит к образованию смеси транс- и цис-изомеров непредельных кетонов в кол-вах 60-75 и 25-40 % соответственно. Модифицир. вариант синтеза непредельных кетонов -термолиз ацетоацетатов, которые м. б. получены также действием дикетена на ненасыщ. спирты в присутствии триэтиламина или пиридина при 0-25 °С. Термолиз проводят в жидкой фазе нагреванием соед. I при 140-215 °С (иногда в присутствии изопропилата Аl) до прекращения выделения СО2 или в паровой фазе при 300-660 °С. При этом ацетоацетаты этиленовых спиртов подвергаются [3,3]-сигматропной перегруппировке, сопровождающейся перемещением двойной связи (за исключением ацетоацетатов первичных спиртов) и приводящей к образованию g,d-непредельного кетона, например:

В случае ацетоацетатов ацетиленовых спиртов перегруппировка приводит к образованию алленового кетона (ф-ла II), превращающегося в смесь кетонов, например:

Т-ра термолиза ацетоацетатов резко снижается при проведении реакции субстратов, адсорбированных на Аl2О3, что позволяет осуществить синтез непредельных кетонов при 60 °С с выходами 90-98%. Термолиз ацетоацетатов позволяет осуществить синтез непредельных кетонов из спиртов с т. кип. <150 °С, а также в том случае, когда исходные вещества и продукты реакции имеют близкие температуры кипения. К.- кэрролла-каймела реакция применяют в синтезе полупродуктов для получения душистых веществ, витаминов А, К и др. Р-ция открыта М. Кэрроллом в 1940, модифицирована У. Каймелом в 1943. Лит.. Яновская Л. А., Реакции и методы исследования органических соединений, а. 12. М.. 1963. с. 261 308. ВацуроК В, Мишенко ГЛ.. Именные реакции в органической химии. М.. 1976. с. 245: Смит В. А., Погребной С. И.. Кальян Ю. Б.. Кример M.3.."Изв. АН СССР Сер. хим.". 1987. № 4, с. 959 60. Л. А. Яновская.




выберите первую букву в названии статьи: А Б В Г Д Е Ж З И К Л М Н О П Р С Т У Ф Х Ц Ч Ш Щ Э Ю Я


Все новости



Новости компаний

Все новости


© ChemPort.Ru, MMII-MMXXIV
Контактная информация