новости бизнеса
компании и предприятия
нефтехимические компании
продукция / логистика
торговый центр
ChemIndex
новости науки
работа для химиков
химические выставки
лабораторное оборудование
химические реактивы
расширенный поиск
каталог ресурсов
электронный справочник
авторефераты
форум химиков
подписка / опросы
проекты / о нас


контакты
поиск
   

главная > справочник > химическая энциклопедия:

КСАНТИНОЛА НИКОТИНАТ


выберите первую букву в названии статьи: А Б В Г Д Е Ж З И К Л М Н О П Р С Т У Ф Х Ц Ч Ш Щ Э Ю Я

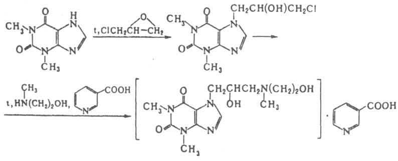
КСАНТИНОЛА НИКОТИНАТ (компламин, ксавин, теоникол, никотинат 7-[2-гидрокси-3-(N-метил-(3-гидроксиэтиламино)пропил] теофиллина, ф-ла I), бесцв. кристаллы. т. пл. 178-182 °С; раств. в воде. плохо - в этаноле. Получают из теофиллина по схеме:

ксантинола никотинат расширяет периферии, сосуды, улучшает периферии. и мозговое кровообращение, уменьшает агрегацию тромбоцитов. Применяют для лечения сердечно-сосудистых и др. заболеваний, сопровождающихся нарушениями периферия, кровообращения. Г. Я. Шварц.




выберите первую букву в названии статьи: А Б В Г Д Е Ж З И К Л М Н О П Р С Т У Ф Х Ц Ч Ш Щ Э Ю Я


Все новости



Новости компаний

Все новости


© ChemPort.Ru, MMII-MMXXIV
Контактная информация