новости бизнеса
компании и предприятия
нефтехимические компании
продукция / логистика
торговый центр
ChemIndex
новости науки
работа для химиков
химические выставки
лабораторное оборудование
химические реактивы
расширенный поиск
каталог ресурсов
электронный справочник
авторефераты
форум химиков
подписка / опросы
проекты / о нас


контакты
поиск
   

главная > справочник > химическая энциклопедия:

Ксаитемовые красители


выберите первую букву в названии статьи: А Б В Г Д Е Ж З И К Л М Н О П Р С Т У Ф Х Ц Ч Ш Щ Э Ю Я

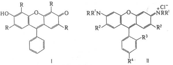
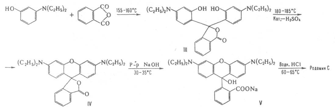
Ксаитемовые красители (от греч. xanthos-желтый), группа красителей, содержащих фрагмент ксантена (см. Дивензопираны). По сравнению с соответствующими арилметановыми красителями из-за наличия мостикового атома кислорода спектр поглощения ксаитeмовых красителей в видимой области, как правило, сильно смещен в коротковолновую область (гипсохромный сдвиг), устойчивость окрасок к свету немного выше. наиб. практич. значение имеют аналоги фталсиновых триарилметановых красителей ф-л I и II (относятся соотв. к гидрокси- и аминоксантеновым красителям).

Флуоресцеин (I; R=Н) - желтый кислотный краситель. получают конденсацией резорцина с фталевым ангидридом при 175-195°С (кат. - ZnCl2). Галогенированием флуорeсцеина синтезируют более глубоко окрашенные яркие кислотные красители -розовый эозин и красный эритрозин(I; R=Вr или I соотв.). Амино - ксаитeмовые красители группы родамина. Незамещенный родамин (II; R=R1=R2=R4=Н, R3=СООН) - основной краситель. получаемый конденсацией м-аминофенола с фталевым ангидридом при 180 °С в присутствии H2SO4. Большее значение имеют его алкилзамещенные - родамин С, родамин 6Ж и др., получаемые из фталевого ангидрида и соответствующих N-алкил-м-аминофенолов. Различают симметричные родамины (С, Ж, 6Ж, ЗС), у которых R и R1 одинаковые алкильные остатки, и несимметричные (R и R1 - разные; например родамины ЗЖО, 4Ж); первые имеют большее значение. Родамины - красные с разл. оттенками основные красители, флуоресцирующие при комнатной температурe. Родамин С (II; R = R1=C2H5, R2=R4=Н, R3=СООH) - ярко-красный с синим оттенком краситель. Его синтез (как и синтез гидроксиксантеновых красителей) протекает ступенчато через стадии образования диаминодигидрокситриарилметанового красителя (III), бесцв. лактона (IV) и бесцв. карбинольного соед. (V) по схеме:

Родамин Ж (И; R=С2H5, R1=R4=Н, R2=СН3, R3=СООС2Н3) - ярко-красный краситель, отличающийся повыш. основностью; синтезируют из 2-этиламино-4-гидрокситолуола и фталевого ангидрида так же, как родамин С, но на заключит. стадии действием С2Н5Сl при ~125 °С под давлением в присутствии оснований (сода, MgO) группу СООН превращают в сложноэфирную. Сульфородамин С (II; R=R12Н5, R2=Н, R3=R4=SO3H) - кислотный ярко-красный краситель; его получают конденсацией м - диэтиламинофенола с 2,4-дисульфобензальдегидом в присутствии H2SO4, нагревая вначале при 140-150 °С, затем при 185 °С, с послед. окислением лейкосоединения действием Na2Cr2O7 в H2SO4. Родамин 6Ж (II; R=С2Н5, R1=R2=R4=Н, R3=СООС2Н5) - красный с желтым оттенком краситель. Получают из фталевого ангидрида и м-моноэтиламинофенола тем же методом, что и родамин Ж. Родамин 4С, или ЗС (II; R=R1=C2H5, R2=R4=H, R3=COOC2H5) - краситель такого же цвета, что и родамин С, но с большей чистотой и яркостью. Получают из фталевого ангидрида и м - диэтиламинофенола так же, как и родамин Ж. Родамин ЗЖО (II; слева R=R1=Н, R2=СН3, справа - R=R12Н5, R2=Н, R3=СООС2Н5, R4=Н) и родамин 4Ж (отличается от предыдущего радикалами слева - R=С2Н5, R1=Н)-красители красного цвета соотв. с желтым и оранжевым оттенками. Т.к. они построены несимметрично, фталеиновую конденсацию при их синтезе проводят в две стадии. Ксаитeмовые красители образуют яркие флуоресцирующие окраски, однако из-за низкой устойчивости к свету в текстильной промышленности их применяют очень ограниченно (в осн. аминокрасители для печати по шелку). Ксаитeмовые красители широко используют для окрашивания бумаги, косметич. ср-в, в произ-ве сигнальных красок, чернил, карандашей, как цветообразующие компоненты для множительной техники и как оптим. квантовые генераторы. Из аминокрасителей получают яркие красные основные лаки. Na-Соль флуоресцеина благодаря интенсивной зеленой флуоресценции (заметна при разбавлении 1:4.107) применяют при изучении направления водных потоков. Гидрокси- и амино - ксаитeмовые красители - орг. люминофоры; из них наиб. важны родамины С, Ж, 6Ж. Флуоресцеин, его галогензамещенные и родамины - флуоресцентные индикаторы; в отличие от цветных индикаторов их можно использовать в окрашенных и мутных средах при осадительном, комплексонометрич., окислит.-восстановит. и кислотно-основном титрованиях. Широко применяют флуоресцеин и эозин как адсорбц. индикаторы для аргентометрич. определений Сl-, Br-, I-, SCN-, CN- (тушение соотв. зеленой и красно-фиолетовой флуоресценции в конце титрования) и как кислотно-основные индикаторы (соотв. при рН 3,4-4,1 и 1-3 появление зеленой флуоресценции). Родамины - высокочувствит. реагенты для экстракционно-флуориметрич. и экстракционно-спектрофотометрич. определений элементов. Образуют экстрагируемые бензолом (толуолом) ионные ассоциаты с ацидокомплексами (GaG-4, InBr-4, TlСl-4, AuCl-4, SbCl-5, TaF-5 и др.) или анионными хелатами металлов (напр., Sc3+ ,Th4+ , UO2+2 РЗЭ) с салициловой и бензойной кислотами, 1-фенил-3-метил-4-бензоил-5-пираэолоном, 8-гидроксихинолином и его производными. Для ионных ассоциатов с разл. родамина.и в спектрах поглощения и флуоресценции lмaкс соотв. в областях 510-560 нм и 535-590 нм. Лит.. Головина А. П.. Левшин Л. В.. Химический люминесцентный анализ неорганических вещала. М . 1978: Степанов Б. И., Введение в химию и технологию органических краем гелей. 3 изд.. М.. 1984, с. 188 96; Красовицкий Б. М.. Болотин Б. М., Органические люминофоры. 2 изд.. М., 1984. © Л.В. Аринич. А.П. Головина.




выберите первую букву в названии статьи: А Б В Г Д Е Ж З И К Л М Н О П Р С Т У Ф Х Ц Ч Ш Щ Э Ю Я


Все новости



Новости компаний

Все новости


© ChemPort.Ru, MMII-MMXXIV
Контактная информация