новости бизнеса
компании и предприятия
нефтехимические компании
продукция / логистика
торговый центр
ChemIndex
новости науки
работа для химиков
химические выставки
лабораторное оборудование
химические реактивы
расширенный поиск
каталог ресурсов
электронный справочник
авторефераты
форум химиков
подписка / опросы
проекты / о нас


контакты
поиск
   

главная > справочник > химическая энциклопедия:

КОТТOНА ЭФФЕКТ


выберите первую букву в названии статьи: А Б В Г Д Е Ж З И К Л М Н О П Р С Т У Ф Х Ц Ч Ш Щ Э Ю Я

КОТТOНА ЭФФЕКТ, см. Хироптические методы.

КOУПА ПЕРЕГРУППИРОВКА, изомеризация 1,5-ненасыщенных орг. соед., сопровождающаяся миграцией аллильной группы с одноврем. сдвигом двойной связи. например:

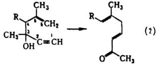
К. п. проводят: при нагр. в вакууме или инертной атмосфере при 150-450 °С; в присутствии комплексов Pd(II) или Ni(0) при 0-20 °С; под действием КН в ТГФ в присутствии краун-эфиров при 0-65 °С; при термолизе под давлением св. 100 МПа. Hаиб. изучены обратимая изомеризация 1,5-диолефинов (р-ция 1) и необратимое превращ. 1,5-енин-З-олов (р-ция 2) в ненасыщ. карбонильные соед. (т. наз. гидроокси-перегруппировка Коупа):

Эти реакции обычно ускоряются в присутствии электроно-акцепторных групп в положениях 3 и 4 и, в меньшей степени, электронодонорных групп в положениях 2 или 5; заместители в положениях 1 или 6 замедляют реакцию. наиб. распространено представление о протекании К. п. по согласованному механизму, включающему [3,3] - сигматропный сдвиг, который осуществляется через "креслоподобное" бp-электронное переходное состояние (ф-ла I):

Считают также, что реакция может протекать по гомолитич. механизму через промежут. образование пары аллильных радикалов или циклогексан-1,4-диильного бирадикала. Побочный процесс при изомеризации 1,5-енин-З-олов-распад исходного соед. на низший олефин и a,b-ненасыщеннoe карбонильное соединение. К. п. используют в орг. синтезе, например при получении гераниола. псевдоионона, терпеноидов, алкалоидов и др. К. п. открыта А. Коупом и Э. Харди в 1940. Лит.: Вудворд Р., Хоффман Р., Сохранение орбитальной симметрии, пер. с англ.. М.. 1971, с. 126-32, 160-63; Темникова Т. И., Семенова С. Н., Молекулярные перегруппировки в органической химия. Л., 1983; Rhoads S.J., Raulins N. R., в кн.: Organic reactions, v. 22, N.Y.-U 1975, p. 1-252; Lutz R. P., "Chem. Rev.", 1984, v. 84, № 3. p. 205-47; Overman LE, "Angew. Chem.", 1984, Bd 96, № 8, S. 565-73. Э. П. Серебряков.




выберите первую букву в названии статьи: А Б В Г Д Е Ж З И К Л М Н О П Р С Т У Ф Х Ц Ч Ш Щ Э Ю Я


Все новости



Новости компаний

Все новости


© ChemPort.Ru, MMII-MMXXIV
Контактная информация