новости бизнеса
компании и предприятия
нефтехимические компании
продукция / логистика
торговый центр
ChemIndex
новости науки
работа для химиков
химические выставки
лабораторное оборудование
химические реактивы
расширенный поиск
каталог ресурсов
электронный справочник
авторефераты
форум химиков
подписка / опросы
проекты / о нас


контакты
поиск
   

главная > справочник > химическая энциклопедия:

КЛАЙЗЕНА-ШМИДТА РЕАКЦИЯ


выберите первую букву в названии статьи: А Б В Г Д Е Ж З И К Л М Н О П Р С Т У Ф Х Ц Ч Ш Щ Э Ю Я

КЛАЙЗЕНА-ШМИДТА РЕАКЦИЯ, конденсация ароматич. альдегидов с алифатич. (жирно-ароматич.) альдегидами или кетонами в присутствии водных растворов щелочей с образованием a,b-ненасыщенных альдегидов или кетонов:

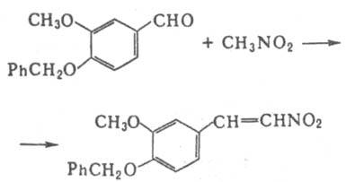
Процесс проводят в тех же условиях, что и кротоновую конденсацию (К.-Ш. р. - частный случай этой реакции). Электронодонорные заместители в бензольном кольце ароматич. альдегида понижают его реакц. способность. Так, n-метоксибензальдегид реагирует в 7 раз медленнее, чем бензальдегид. Побочная реакция - самоконденсация алифатич. альдегидов. Выход ненасыщ. альдегидов или кетонов 60-80%. В реакцию, подобную К.-Ш. р., вступают нитроалканы с ароматич. альдегидами в присутствии щелочей с образованием нитростиролов, например:

Циклизацией продуктов, образующихся в К.- Ш. р., получают гетероциклич. соед., например:

К.- Ш. р. используют для защиты активной метиленовой группы, например при введении ангулярной метальной группы в бицикло[4.4.0]декан-l-он:

Р-ция открыта в 1881 Л. Клайзеном и независимо Я. Шмидтом. Лит.. Серрей А., Справочник по органическим реакциям, пер. с англ., М., 1962, с. 145-46. См. также лит. при ст. Кретоновая конденсация. С. К. Смирнов.



выберите первую букву в названии статьи: А Б В Г Д Е Ж З И К Л М Н О П Р С Т У Ф Х Ц Ч Ш Щ Э Ю Я


Все новости



Новости компаний

Все новости


© ChemPort.Ru, MMII-MMXXIV
Контактная информация