новости бизнеса
компании и предприятия
нефтехимические компании
продукция / логистика
торговый центр
ChemIndex
новости науки
работа для химиков
химические выставки
лабораторное оборудование
химические реактивы
расширенный поиск
каталог ресурсов
электронный справочник
авторефераты
форум химиков
подписка / опросы
проекты / о нас


контакты
поиск
   

главная > справочник > химическая энциклопедия:

КИЖНЕРА РЕАКЦИЯ


выберите первую букву в названии статьи: А Б В Г Д Е Ж З И К Л М Н О П Р С Т У Ф Х Ц Ч Ш Щ Э Ю Я

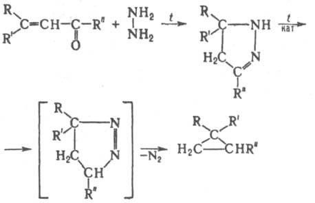
КИЖНЕРА РЕАКЦИЯ, получение замещенных циклопропанов термич. расщеплением пиразолинов, образующихся при взаимод. a,b-ненасыщенных альдегидов или кетонов с гидразином.

Р-цию обычно проводят в присутствии КОН и платинированной глины или асбеста при 200-230 °С. В качестве катализаторов также могут применяться Na2HPO4, хинолин. три-этаноламин. Общий выход циклопропанов 50-70%. По кижнера реакция можно получать циклопропаны, содержащие алифатич., ароматич., алициклич. и гетероциклич. заместители, например:

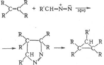
Р-ция, подобная кижнера реакция,-образование циклопропанов в результате присоединения алифатич. диазосоединений к олефинам с послед. термич. расщеплением образовавшихся пиразолинов (р-ция Бухнера):

Р-ция открыта Н.М. Кижнером в 1912. Лит.: Гетероциклические соединения, под ред. Р. Эльдсрфилда, пер. с англ., т. 5. М., 1961, с. 61, 83; Jones W. M., Wun-Ten Tai, :J. Org. Chem.:, 1962, v. 27, N4, p. 1324 28; Jarboe С. Н., в кн.: Pyrazoles. Pyrazolines. Indasoles and condensed rings, ed. by A. Weissberger, N. Y., 1967, p. 209. К. В. Вацуро.




выберите первую букву в названии статьи: А Б В Г Д Е Ж З И К Л М Н О П Р С Т У Ф Х Ц Ч Ш Щ Э Ю Я


Все новости



Новости компаний

Все новости


© ChemPort.Ru, MMII-MMXXIV
Контактная информация