новости бизнеса
компании и предприятия
нефтехимические компании
продукция / логистика
торговый центр
ChemIndex
новости науки
работа для химиков
химические выставки
лабораторное оборудование
химические реактивы
расширенный поиск
каталог ресурсов
электронный справочник
авторефераты
форум химиков
подписка / опросы
проекты / о нас


контакты
поиск
   

главная > справочник > химическая энциклопедия:

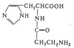
КАРНОЗИН


выберите первую букву в названии статьи: А Б В Г Д Е Ж З И К Л М Н О П Р С Т У Ф Х Ц Ч Ш Щ Э Ю Я

КАРНОЗИН (от лат. саrо, род. падеж carnis - мясо) (b-аланилгистидин), мол. м. 226,3; бесцв. кристаллы. т. пл. 246-260 °С (с разл.); [a]D25 +21,1 ° (5,7%-ный водный раствор); хорошо раств. в воде. не раств. в этаноле и эфире; рI 7,6-7,7. В больших кол-вах (от 150 до 1000 мг на 100 г ткани) содержится только в скелетной мускулатуре позвоночных (исключение -некоторые представители рыб, например, карась и окунь) и в обонятельной луковице (50-60 мг на 100 г ткани).

Биол. роль карнозин окончательно не выяснена. Установлено, что он является предшественником в биосинтезе анзерина; благоприятно влияет на гликолиз и окислит. фосфорилирование. увеличивая кол-во образующегося АТФ; повышает отношение Са/АТФ при нарушенном активном транспорте Са в пузырьках саркоплазматич. ретикулома; увеличивает эффективность активного транспорта К+ и Na+ через плазматич. мембрану; препятствует пероксидному окислению липидов. активирует восстановление поврежденных тканей. Биосинтез карнозин осуществляется главным образом в скелетных мышцах при участии малоспецифичного фермента карнозинсинтетазы по схеме:

b-Аланин + АТФ + Е D Е—b-Аланил—АМФ + ПФ;

Е—b-Аланил—АМФ + Гистидин D карнозин + АМФ + Е.

Е - карнозинсинтетаза, АМФ - аденозинмонофосфат, ПФ -пирофосфорная кислота. Р-ция практически необратима, т. карнозин ПФ быстро гидролизуется пирофосфатазой до Н3РО4. У мн. животных в корковом слое почек, печени, в обонятельной луковице, селезенке, cекрете слизистой тонкого кишечника находится фермент карнозиназа, катализирующий гидролиз карнозин до b-аланина и гистидина. карнозин синтезируют из хлорангидрида N-фталил-b-аланина и гистидина (выход окарнозин 27%) или выделяют из измельченных мышц экстрагированием водой при 60 °С с послед. осаждением карнозин из безбелкового фильтрата солями Ag и Ва. Для определения карнозин используют бумажную и колоночную хроматографию (в отсутствие анзерина) или фотометрируют при 640 нм продукт его взаимод. с о-фталевым альдегидом. Последний метод используют для суммарного определения анзерина и карнозин Р-ры карнозин с концентрацией 10-20 мМ в экспериментах на животных оказались эффективными для лечения старческой катаракты и при заживлении послеоперационных ран. По зарубежным данным, м.б. использован для ускорения заживления ран в стоматологич. хирургии. Лит.: Мешков Н. П., "Успехи биологической химии", 1964, № 6, с. 86-107; Северин С. Е., Болдырев А. А., Дупин А. М., "Вопросы медицинской химии", 1984, № 3, с. 32-36; Nagai карнозин, Yamane Т., "Heterocycles", 1978, v. 10, p. 277-347; "Comparative Biochemistry and Physiology", 1983, v. 74B, № 3, p. 623-26; "Biochemistry International", 1987, v. 15, № 6, p. 1105-15. C. E. Северин.




выберите первую букву в названии статьи: А Б В Г Д Е Ж З И К Л М Н О П Р С Т У Ф Х Ц Ч Ш Щ Э Ю Я


Все новости



Новости компаний

Все новости


© ChemPort.Ru, MMII-MMXXIV
Контактная информация