новости бизнеса
компании и предприятия
нефтехимические компании
продукция / логистика
торговый центр
ChemIndex
новости науки
работа для химиков
химические выставки
лабораторное оборудование
химические реактивы
расширенный поиск
каталог ресурсов
электронный справочник
авторефераты
форум химиков
подписка / опросы
проекты / о нас


контакты
поиск
   

главная > справочник > химическая энциклопедия:

КАРИОФИЛЛЕН


выберите первую букву в названии статьи: А Б В Г Д Е Ж З И К Л М Н О П Р С Т У Ф Х Ц Ч Ш Щ Э Ю Я

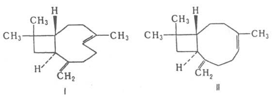
КАРИОФИЛЛЕН, мол. м. 204,36. Существует в виде двух изомеров. Собственно кариофиллен (ф-ла I) - бесцв. маслянистая

жидкость с острым древесным запахом; т. кип. 259-261 °С; d420 0,890-0,905; nD20 1,496-1,510; [a]D20 -9,5° и +9,4°; раств. в неполярных орг. растворителях, не раств. в воде. Для изокариофиллена (II) [a]D20 -26,2° и +21,9°. Оба изомера содержатся во мн. эфирных маслах. кариофиллен быстро окисляется на воздухе и при этом осмоляется. Очень легко, особенно под действием кислот, претерпевает превращ., связанные с перестройкой углеродного скелета. Получают как побочный продукт при выделении эвгенола из гвоздичного масла. Применяют при составлении парфюм. композиций, отдушек для мыла. косметич. изделий, а также в синтезе некоторых производных, применяемых в качестве душистых веществ. ЛД50 5 г/кг (крысы, перорально). Л. А. Хейфиц.




выберите первую букву в названии статьи: А Б В Г Д Е Ж З И К Л М Н О П Р С Т У Ф Х Ц Ч Ш Щ Э Ю Я


Все новости



Новости компаний

Все новости


© ChemPort.Ru, MMII-MMXXIV
Контактная информация