новости бизнеса
компании и предприятия
нефтехимические компании
продукция / логистика
торговый центр
ChemIndex
новости науки
работа для химиков
химические выставки
лабораторное оборудование
химические реактивы
расширенный поиск
каталог ресурсов
электронный справочник
авторефераты
форум химиков
подписка / опросы
проекты / о нас


контакты
поиск
   

главная > справочник > химическая энциклопедия:

КАРБОНАТЫ ОРГАНИЧЕСКИЕ


выберите первую букву в названии статьи: А Б В Г Д Е Ж З И К Л М Н О П Р С Т У Ф Х Ц Ч Ш Щ Э Ю Я

КАРБОНАТЫ ОРГАНИЧЕСКИЕ, сложные эфиры угольной кислоты. Средние ациклич. карбонаты (К.) бесцв. жидкости с эфирным запахом (см. табл.); не раств. или трудно раств. в воде. этаноле. диэтиламине. аммиаке. раств. в эфире, ацетоне. бутиламине. бензиламине. образуют азеотропные смеси с водой, спиртами, ССI4, этиленхлоргидрином. гексаном, циклогексаном. Циклич. К. - жидкие или легкоплавкие твердые вещества; раств. в воде. смешиваются с ароматич. углеводородами. спиртами, карбоновыми кислотами, ацетоном, хлороформом. не раств. в алифатич. углеводородах, CS2; образуют азеотропные смеси с гликолями. В ИК спектрах К. имеют две сильные характеристич. полосы - при 1740-1860 см -1 (nС=O) и 1205-1290 см -1 (nC_O).

По хим. свойствам К. - типичные эфиры сложные. Ациклич. К. в присутствии кислот Льюиса алкилируют ароматич. углеводороды, с хлорбензолом при действии Na образуют трифенилкарбинол. реагируют с ацетиленом с образованием эфиров алкоксикарбоновых кислот. Нуклеофилы расщепляют их по связи С(О)—О, например, при взаимод. с NH3 образуются уретаны NH2C(O)OR. Ациклич. К. используют для алкоксикарбонилирования по Клайзену:

При пиролизе ациклич. К. образуются спирты, этилен и СO2. Циклич. К. при взаимод. с нуклеофилами расщепляются преим. по связи C(R)—О, например:

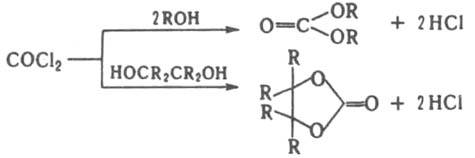
Исключение реакция с NH3 или алифатич. аминами. приводящая к R2NC(O)OCH2CH2OH; виниленкарбонат в этой реакции образует R2NC(O)OCH2CHO. Каталитич. гидрирование циклич. К. приводит к 1,2-гликолям и метанолу Диеновым синтезом из виниленкарбоната получены цис-гликоли. Термокаталитич. распад пятичленных насыщенных циклич. К. в присутствии щелочей приводит к образованию оксиранов или продуктов их изомеризации (альдегидов, кетонов) и полигидроксиалкенов. Гидролиз циклич. К. используют в произ-ве гликолей. Получают К. взаимод. фосгена или эфиров хлормуравьиной кислоты со спиртами и фенолами при повыш. температурах в присут азотистых оснований:

Они м. б. также получены гидроформилированием спиртов и фенолов в присутствии соед. Сu и Pd и непосредственно из алкенов. например, при взаимод. последних с О2 и СО2 в присутствии галогенидов и др. соед. Сu. Основной пром. способ синтеза циклич. К. - взаимод. оксиранов с СО2 в присутствии неорг. или орг. галогенидов, например:

Виниленкарбонат получают хлорированием этиленкарбоната с послед. отщеплением НСl. Каталитич. переэтерификация позволяет осуществить взаимные превращ. между низшими, высшими, циклич. и ациклич. К. К. - растворители природных и синтетич. смол, эфиров целлюлозы, электролиты, диспергаторы, вспениватели и эмульгаторы, экстрагенты ароматич. углеводородов из смесей с алифатическими, абсорбенты H2S и СО2 из газов, мономеры в промышленности СК, волокон и пластмасс, исходные вещества для синтеза гликолей, пластификаторов, лек. препаратов и ср-в защиты растений. Кислые К. [алкил(арил)угольные кислоты] ROC(O)COOH существуют только в виде солей. Об эфиpax ортоугольной кислоты см. Ортоэфиры. См. также Пропиленкарбонат, Этиленкарбонат. Лит.: Коренькова О. П., Кваша В. Б., "Хим. промышленностъ". 1961, № 9. с. 33(625) 38(630); Алкиленкарбонаты. Л., I975; Общая органическая химия, пер. с англ., т. 4. М., 1983, А. М. Рыженков.




выберите первую букву в названии статьи: А Б В Г Д Е Ж З И К Л М Н О П Р С Т У Ф Х Ц Ч Ш Щ Э Ю Я


Все новости



Новости компаний

Все новости


© ChemPort.Ru, MMII-MMXXIV
Контактная информация