новости бизнеса
компании и предприятия
нефтехимические компании
продукция / логистика
торговый центр
ChemIndex
новости науки
работа для химиков
химические выставки
лабораторное оборудование
химические реактивы
расширенный поиск
каталог ресурсов
электронный справочник
авторефераты
форум химиков
подписка / опросы
проекты / о нас


контакты
поиск
   

главная > справочник > химическая энциклопедия:

КАРБОКСИЛИРОВАНИЕ


выберите первую букву в названии статьи: А Б В Г Д Е Ж З И К Л М Н О П Р С Т У Ф Х Ц Ч Ш Щ Э Ю Я

КАРБОКСИЛИРОВАНИЕ, введение карбоксильной группы в молекулу орг. соединения. Осуществляется обычно путем внедрения СО2 по связи С—Н или С—М (с послед. гидролизом.:

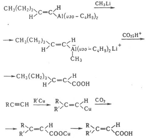
М = Li, Na, Cu, AlR2, MgX и др. Hаиб. легко карбоксилирование подвергаются металлоорг. соед., среди которых чаще всего используют производные Li и Mg, например.

Р-цию проводят под действием газообразного или твердого СО2. Для синтеза некоторых карбоновых кислот применяют орг. производные Al, Zr, Cu и др., например:

Феноляты щелочных металлов под действием СО2 с хорошим выходом превращ. в гидроксикислоты (см. Кольбе-Шмитта реакция). Аналогично реагируют соли гетероциклич. и полициклич. гидроксисоединений, например:

карбоксилирование магнийпроизводных орг. аминов приводит к n-аминобензойным кислотам:

При карбоксилирование метил- и галогензамещенных ароматич. соед образуются арилкарбоновые кислоты. например:

карбоксилирование называют также превращ. в карбоновые кислоты илидов Р под действием СО2 в щелочном растворе с послед. кислотным гидролизом.

Общий метод карбоксилирование насыщ. углеводородов. содержащих Н при третичном атоме С, - введение карбоксильной группы путем замещения атома водорода. Осуществляется обычно действием смеси муравьиной и серной кислот в mpeт-бутаноле, например:

Введение карбоксильной группы в насыщенные или ароматич. углеводороды осуществляется также действием оксалилхлорида, например:

Гидрокарбоксилирование (гидроксикарбонилирование) - присоединение атома Н и карбоксильной группы по двойной связи. Осуществляют обычно действием карбони-лов Ni или Со, а также СО под давлением в присутствии катализатора. например:

Частный случай гидрокарбоксилирования - превращ. олефинов в карбоновые кислоты под действием смеси НСООН и конц. H2SO4 (см. Коха-Хаафа реакция). карбоксилирование играет большую роль во мн. ферментативных процессах. При фотосинтезе СО2 связывается сначала рибулозо-1,5-дифосфатом, а образующееся соед. распадается на две молекулы 3-фосфоглицериновой кислоты. У растений осн. продуктом ассимиляции СО2 обычно бывает крахмал. Нефотосинтезирующие организмы используют СО2 при биосинтезе жирных кислот, углеводов. аминокислот и др. Обратимое восстановительное карбоксилирование пировиноградной и фосфоенолпировиноградной кислот, а также ферментативное карбоксилирование ацетил-, b-метилкротоноил- и пропионилкоэнзимами А обеспечивают работу трикарбоновых кислот цикла. Лит.: Талалаева Т. В., Кочешков карбоксилирование А., в кн., Методы элементоорганической химии. Литий. натрий. калий, рубидий, цезий, под общ. ред. А. Н. Несмеянова и карбоксилирование А. Кочешкова. кн. 1, М., 1971, Мишенко Г. Л., Вацуро карбоксилирование В., Синтетические методы органической химии. Справочник, М., 1982; Ноуben Weyl, Methoden der organischen Chemie, 4 Auff., Bd. 8, Stuttg.,1952. А. Б. Пономарев.




выберите первую букву в названии статьи: А Б В Г Д Е Ж З И К Л М Н О П Р С Т У Ф Х Ц Ч Ш Щ Э Ю Я


Все новости



Новости компаний

Все новости


© ChemPort.Ru, MMII-MMXXIV
Контактная информация